年金終值和現值_26年注會財管預習知識點
如果把注會考試比作馬拉松,現在正是熱身圈。東奧替考生標好財管每一公里的“補給站”,資本成本小餅干、本量利能量膠、現金價值電解質水……提前走一遍路線,2026年正式起跑才不會岔氣。從現在開始預習,把未知變成熟悉,把焦慮變成底氣。
?注會《財管》預習知識點匯總> ? 備考資料,注冊即可免費領取>

年金(annuity)
1.年金的含義
年金是指等額、定期的系列收付款項。
2.年金的種類
(1)普通年金:從第一期開始每期期末等額收款或付款的年金。

(2)預付年金:從第一期開始每期期初等額收款或付款的年金。

(3)遞延年金:在第二期或第二期以后等額收付的年金。

(4)永續(xù)年金:無限期的普通年金。

(五)年金的終值和現值
1.普通年金的終值與現值
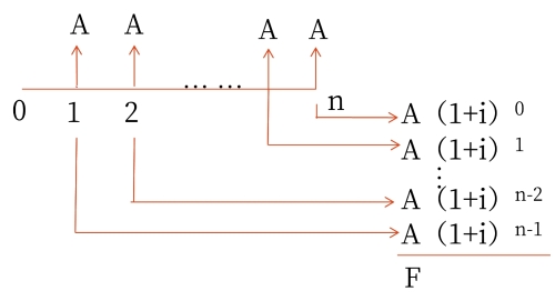
(1)普通年金終值

F=A×(1+i)0+A×(1+i)1+A×(1+i)2+……+A×(1+i)n-2+A×(1+i)n-1
F=A×[(1+i)0+(1+i)1+(1+i)2+……+(1+i)n-2+(1+i)n-1]

年金終值系數表(F/A,i,n)
利率 期數 | 1% | 2% | 3% | 4% | 5% |
5 | 5.1010 | 5.2040 | 5.3091 | 5.4163 | 5.5256 |
6 | 6.1520 | 6.3081 | 6.4684 | 6.6330 | 6.8019 |
7 | 7.2135 | 7.4343 | 7.6625 | 7.8983 | 8.1420 |
8 | 8.2857 | 8.5830 | 8.8923 | 9.2142 | 9.5491 |
9 | 9.3685 | 9.7546 | 10.1591 | 10.5828 | 11.0266 |
(2)普通年金現值

P=A×(1+i)-1+A×(1+i)-2+……+A×(1+i)-n
=A×[(1+i)-1+(1+i)-2+……+(1+i)-n]

年金現值系數表(P/A,i,n)
利率 期數 | 6% | 7% | 8% | 9% | 10% |
1 | 0.9434 | 0.9346 | 0.9259 | 0.9174 | 0.9091 |
2 | 1.8334 | 1.8080 | 1.7833 | 1.7591 | 1.7355 |
3 | 2.6730 | 2.6243 | 2.5771 | 2.5313 | 2.4869 |
4 | 3.4651 | 3.3872 | 3.3121 | 3.2397 | 3.1699 |
5 | 4.2124 | 4.1002 | 3.9927 | 3.8897 | 3.7908 |
總結

(3)償債基金
償債基金是指為使年金終值達到既定金額每年末應收付的年金數額。
(4)投資回收額
是指為了收回初始投資額需要在未來約定年限內每年末等額回收的金額。
2.預付年金終值和現值的計算
方法1:利用同期普通年金公式乘以(1+i)


方法2:調整期數系數

預付年金終值 | 方法1: =同期的普通年金終值×(1+i)=A×(F/A,i,n)×(1+i) |
方法2: =年金額×預付年金終值系數=A×[(F/A,i,n+1)-1] |

總結
預付年金終值和現值的計算公式
預付年金終值 | 方法1: =同期的普通年金終值×(1+i)=A×(F/A,i,n)×(1+i) |
方法2: =年金額×預付年金終值系數=A×[(F/A,i,n+1)-1] | |
預付年金現值 | 方法1: =同期的普通年金現值×(1+i)=A×(P/A,i,n)×(1+i) |
方法2: =年金額×預付年金現值系數=A×[(P/A,i,n-1)+1] |
總結
系數間的關系
名稱 | 系數之間的關系 |
復利終值系數與復利現值系數 | 互為倒數 |
普通年金終值系數與償債基金系數 | 互為倒數 |
普通年金現值系數與投資回收系數 | 互為倒數 |
預付年金終值系數與普通年金終值系數 | (1)期數加1,系數減1 (2)預付年金終值系數 =普通年金終值系數×(1+i) |
預付年金現值系數與普通年金現值系數 | (1)期數減1,系數加1 (2)預付年金現值系數 =普通年金現值系數×(1+i) |
3.遞延年金


結論
遞延年金終值只與連續(xù)收支期(n)有關,與遞延期(m)無關。
F遞=A×(F/A,i,n)


4.永續(xù)年金
①終值:沒有
②現值:

③非標準永續(xù)年金
預付永續(xù)和遞延永續(xù)
知識點來源:第三章 價值評估基礎
● ● ●
注:以上內容選自閆華紅老師《財管》科目基礎班授課講義
(本文為東奧會計在線原創(chuàng)文章,僅供考生學習使用,禁止任何形式的轉載)



津公網安備12010202000755號