2017注會《財管》高頻考點:資本資產定價模型
注冊會計師考試臨近,強化階段備考應注重知識點的查漏補缺,小編整理注會財管高頻考點,幫助大家強化備考,順利過關!
【高頻考點】資本資產定價模型
資本資產定價模型的研究對象,是充分組合情況下風險與要求的收益率之間的均衡關系。
(一)系統(tǒng)風險的衡量指標
1.單項資產的β系數
|
含義 |
某個資產的收益率與市場組合之間的相關性。 |
|
結論 |
市場組合相對于它自己的貝塔系數是1。 (1)β=1,說明該資產的系統(tǒng)風險程度與市場組合的風險一致; (2)β>1,說明該資產的系統(tǒng)風險程度大于整個市場組合的風險; (3)β<1,說明該資產的系統(tǒng)風險程度小于整個市場組合的風險; (4)β=0,說明該資產的系統(tǒng)風險程度等于0。 |
|
結論 |
【提示】 (1)β系數反映了相對于市場組合的平均風險而言單項資產系統(tǒng)風險的大小。 (2)絕大多數資產的β系數是大于零的。如果β系數是負數,表明這類資產收益與市場平均收益的變化方向相反。 |
|
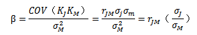
計算 方法 |
(1)回歸直線法:利用該股票收益率與整個資本市場平均收益率的線性關系,利用回歸直線方程求斜率的公式,即可得到該股票的β值。 (2)定義法
|
|
影響 因素 |
(1)該股票與整個股票市場的相關性(同向); (2)股票自身的標準差(同向); (3)整個市場的標準差(反向)。 |
【提示】資產組合不能抵消系統(tǒng)風險,所以,資產組合的β系數是單項資產β系數的加權平均數。
(二)資本資產定價模型(CAPM)和證券市場線(SML)
|
資本資產定價模型的基本表達式 |
根據風險與收益的一般關系:
必要收益率=無風險收益率+風險附加率 Ri=Rf+β×(Rm-Rf) |
|
證券市場線 |
證券市場線就是關系式:Ri=Rf+β×(Rm-Rf)所代表的直線。 ①橫軸(自變量):β系數; ②縱軸(因變量):Ri必要報酬率; ③斜率:(Rm-Rf)市場風險溢價率(市場風險補償率); ④截距:Rf無風險報酬率。 |
【提示1】市場風險溢價率(Rm-Rf)反映市場整體對風險的偏好,如果風險厭惡程度高,則證券市場線的斜率(Rm-Rf)的值就大。
注會備考的路或許孤單或許辛苦,同學們不要擔心,現在的汗水一定可以澆灌出光明的未來,注冊會計師就在前方,我們一起加油。不同的考生需要的備考策略是不同的,小編針對不同的注會備考人群,給大家匯總了各類考生注冊會計師考試備考攻略,希望可以幫助大家。



津公網安備12010202000755號